塔形流量計本身是一個整體結構,無可動部件,如圖1所示:

塔形流量計是一種節流式差壓流量計,遵循封閉管道中流體質量守恒(連續性方程)和能量守恒(伯努利方程)定律。
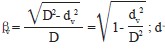
標準節流件普遍適用的流量方程為

塔形流量計采用等效的開孔直徑dv(錐形體最大截面圓的直徑)代替了標準節流件的開孔直徑d。同時采用一個等效βv取代β,即

所以,塔形流量計的實用流量方程為

式(4)、(5)和式(1)、(2)實質是相同的,只是用等效的D2、βv2替換d2。
式中:qm、qv———質量流量,kg/s、體積流量,m3/s;C———流出系數;βv———等效直徑比,
——錐形體最大截面圓的直徑,m;D———測量管直徑,m;ε———氣體可膨脹性系數(液體ε=1);ΔP———差壓,Pa;ρ———流體工作密度,kg/m3。
塔形流量計的可膨脹性系數為

式中:ΔP———差壓;βv———錐形體的等效直徑比;K———可壓縮流體的等熵指數;P1———節流件上游取壓孔處的絕對壓力(單位與ΔP相同)。
1、具有良好的準確度(≤0.5%)和重復性(≤0.1%)。
2、具有較寬的量程比(10﹕1~15﹕1)。
3、對流體有整流功能,因此只需要極短的直管段(前1~3D后0~1D)。
4、具有自清潔功能,可測臟污和易結垢流體。
5、節流件關鍵部位不磨損,因此能保持長期穩定地工作。
6、是純機械體(不含任何電子部件),因此耐高溫、高壓、耐腐蝕、不怕震動等。
7、可測流體的種類非常廣泛(液、氣、蒸汽),流量范圍寬(從微小流量~大流量),適應的管道(DN15~DN3000)。
1.對流體有均速作用
流體在管道中流動時,當流體流動不受任何阻礙和干擾達到充分發展狀態時,其速度分別為:越靠近管道中心流速越快,在中心處達到最快;越靠近管壁流速越慢,在管壁處接近零。而塔形流量計由于錐形體處在管道中心,它直接把流體從高速流動的中心部位分開,使流速快的流體分別向四周流速慢的流體靠攏并拉動它們混合一起流動,這種快慢混合的結果是:原本流速快慢的差別消失了,流體變成了真正的均勻流動。流體流速被均勻化所帶來的好處是:測量信號真實反映了被測流體的實際值,并使得在低流速時流量計前后仍能產生足夠準確的差壓,隨著流速的降低,這種作用更加顯著,而傳統的差壓式儀表對這種情況可能早已不能測量了。
2. 具有很強的抗干擾能力
流體流動遇到阻擋物時會在其后部產生漩渦流,如渦街流量計就是基于這個原理工作的。同理,像孔板等節流件在管道中也是阻擋物,在其后部除了產生靜壓力差外必然也會產生漩渦流。然而,這個漩渦流對于渦街流量計來講是有用的信號,對于差壓式流量計卻是有害的干擾。因為這個干擾的存在會在節流件下游產生“信號跳動”現象,嚴重干擾了正常信號的測量。塔形的結構是邊壁節流,節流件后部產生干擾流的分布是等量相反(對稱分布)而相互抵消,因此使干擾程度大大減輕。而孔板等傳統節流件是中心節流,產生的干擾流方向直接指向取壓口,嚴重干擾了測量信號,特別是小流量時干擾甚至大于測量信號而無法正常工作。經過大量的試驗和科學檢測證明,孔板負壓端產生的是高幅度低頻率跳動,而塔形負壓端產生的是低幅度低頻率跳動。
3. 對流體的整流功能
絕大多數流量儀表要求足夠長的前后直管段,目的就是為了使流體流動狀態成為充分發展管流以復現實驗條件下的流動狀態。但是由于現場工藝條件復雜,如管道中有各種閥門、彎頭、縮徑、擴徑、泵等,使得儀表所需較長的直管段很難滿足,所測量誤差增大。因此,絕大多數流量儀表很難在不滿足直管段條件下取得準確的測量值。而塔形流量計由于其邊壁節流的特殊結構,使得流體在遇到塔形節流件時,被強迫按照“管壁與節流件之間由寬變窄的狹長通道”內流動,該通道可以等效為一個管式整流器,經過這個通道后,各種干擾流的變化為:不規則流動—被迫在規定的通道流動—變成規則流動。因此,它能夠對上游處因各種外界因素引起的不規則的流動畸變自動進行矯正整流,從而使到達測量區的流動形成規則的流動。因此只需極短的直管段就能取得準確的測量值,由此大大減輕了用戶的工作量和投資,這是大多數流量儀表所無法比擬的。
4. 節流件耐磨損
節流式差壓儀表的測量準確度是靠它的“幾何尺寸”保證的,這一點塔形流量計和孔板是一樣的,但是由于孔板測量的關鍵部位易磨損,它的測量誤差隨著使用時間在緩慢變大,而從塔形流量計的節流結構可以看出,其關鍵的節流邊緣是處在節流件后部的鈍角,并順著流體方向。當流體流過節流件表面和管壁間的通道時,會形成“邊界層效應”,該效應會使流體到達測量部位前,逐漸離開節流邊緣一個微小的距離,這樣就使得被測流體不與節流件關鍵部位接觸,不可能有磨損情況發生,其關鍵部位的幾何尺寸就能保持長期不變,因此能夠長期穩定地工作。
5. 自清潔功能
測量臟污介質時,由于流體在靠近管壁處的流速變慢極易使臟污物等沉積或附著在管壁上,對于孔板還會在前面堆積。當流體通過塔形流量計與管壁之間形成的由寬逐漸變窄的通路,它迫使流體流動速度加快,從而對管壁、節流件表面附件形成了吹掃沖刷作用,所有臟污不可能在這里停留或附著,所以不會產生臟污的積垢,更不存積垢死角。
氣體:煤氣(焦爐煤氣、高爐煤氣、發生爐煤氣等)、天然氣,包括含濕量5%以上的天然氣、各種碳氫化合物氣體、各種氣體,如氫、氦、氬、氧、氮等空氣,包括含水、含其它塵埃的空氣煙道氣
蒸汽:飽和蒸氣、過熱蒸汽
液體:油類、燃料油、含水乳化油等,水,無紙記錄儀包括純凈水、污水,各種水溶液,包括鹽、堿水溶液,含油、含沙的水,其它化工液體
第一部位內容:FLT-表示飛龍塔形(V形錐)流量計,固定不變;
第二部位內容:最大4位阿拉伯數字,表示公稱管徑,如DN500用500表示等;
第三部位內容:2位英文字母,表示流量計
測量管 和錐形 體的材質
ST:管道、法蘭及錐形體均為不銹鋼
SL:管道、法蘭為碳鋼,錐形體為不銹鋼
AS:特殊材質如合金鋼等
第四部位內容:1位阿拉伯數字,表示儀表法蘭的壓力等級(MPa)
00:GB PN0.25
0: GB PN0.6
1: GB PN1.0
2: GB PN1.6
3: GB PN2.5
4: GB PN4.0
5: GB PN6.
6: GB PN10~42(在此范圍內根據實際壓力確定)
第五部位內容:1位阿拉伯數字,表示儀表結構形式
1:管道式法蘭式
2:插入式
3:法蘭夾裝式
4:管道對焊式(無法蘭)
5:小口徑一體化式
6:常規流體一體化式
7:蒸汽一體化式
8:方形管道式(法蘭或焊接)
第六部位內容:1個英文字母,表示配套變送器的種類
A:配套差壓變送器(型號用戶可自選)
B:配套多參數變送器(型號用戶可自選)
N:不配套
第七部位內容:1個英文字母,表示流量計取壓接嘴
S:M20×1.5 (默認項)
C:承插焊(尺寸根據用戶要求確定)
M:法蘭式(尺寸根據用戶變送器確定)
第八部位內容:其它選項
/L: 配套用戶法蘭、螺栓、墊片
/T:用戶要求探傷
/F:特臟流體需要采用飛龍公司防堵等專利技術
/W:流量計上安裝測溫元件
更多精彩內容,請登入維庫電子通(wiki.dzsc.com)
高通以其手機芯片而聞名,但也建立了廣泛的汽車芯片業務。從美國聯邦貿易委員會(FTC)的一份聲明獲悉,在監管機構表達反壟斷擔憂后,高通公司放棄了收購以色列半導體公司Autotalks Ltd.的交易。
當地時間 2024年3月20日,美國政府宣布為美國芯片公司英特爾提供195億美元的補貼
品類齊全,輕松購物
現貨直發,極速配送
正品好貨,精致服務
特賣商品,暢享無憂